Введение
Рассмотрим четыре устройства корреляционного типа, в которых используются умножители-накопители. Прежде всего, это устройство с алгоритмом оценки максимального правдоподобия (ОМП) модуля коэффициента корреляции, затем – с упрощённым алгоритмом оценки с умножителем и когерентным накопителем, далее – на основе умножителя и бинарного накопителя и, наконец, наиболее простой в реализации коррелятор, на который подаются жёстко ограниченные сигналы, с последующим когерентным накоплением. В некотором смысле это типовые устройства, входящие в состав различных радиотехнических систем [1, 2]. Как правило, их эффективность анализируется при помощи статистического моделирования, так как нелинейная операция умножения приводит к изменению вида распределений на выходе устройств и существенному усложнению их анализа. Если точность расчёта вероятности правильного обнаружения характеристик допускает моделирование, то для малых вероятностей ложных тревог точность расчёта с помощью статистического моделирования становится недопустимо низкой. По этой причине и была предпринята попытка впервые найти аналитические выражения для расчёта низких вероятностей ложных тревог для нелинейных устройств корреляционного типа при использовании малых выборок наблюдений.
Коррелятор с когерентным накоплением и нормировкой
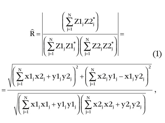
В качестве первого алгоритма с умножителем на входе рассмотрим способ сравнения с порогом оценки максимального правдоподобия (ОМП) модуля коэффициента корреляции в соответствии с приведённой далее формулой. В числителе (1) производится умножение с когерентным накоплением, а в знаменателе – нормировка к мощности входных сигналов:

где – ˆR оценка модуля коэффициента корреляции, N – число накоплений по независимым выборкам. Z1j = x1j + iy1j, Z2j = x2j + iy2j – комплексные выборки сигналов на входе умножителя, разнесённых по времени или частоте в виде аддитивной смеси шума и коррелированного сигнала. Квадратурные компоненты шума имеют нормальное распределение с дисперсией равной 1 и средним значением равным 0.
Для нахождения вероятности ложной тревоги на выходе данного устройства с помощью распределения оценки модуля коэффициента корреляции нужно воспользоваться распределением Уишарта. Такое распределение получено в работе [1]:

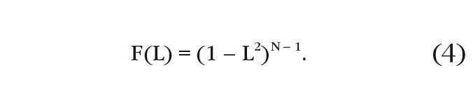
Пороги для заданной вероятности ложной тревоги при воздействии шума найдём аналитически для R = 0. Очевидно, что для R = 0 распределение (2) можно представить в более простом виде:

Используя (3), можно получить формулу для вероятности ложной тревоги F как вероятности превышения порога L:

Для верификации данной формулы было проведено моделирование этого устройства с расчётом F для разных значений порога L и N = 8 (см. рис. 1).

Результаты моделирования совпадают с аналитическими расчётами для невысоких порогов. В таблице 1 указаны пороги L для оптимального обнаружителя при разных N.

Благодаря нормировке пороги для данного устройства не зависят от мощности шума на входе, т.е. данный алгоритм обладает свойством стабилизации вероятности ложной тревоги.
Коррелятор только с когерентным накоплением
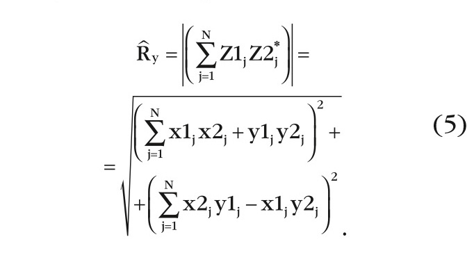
Упростим алгоритм (1), применив только умножитель с когерентным накоплением, т.е. исключив из знаменателя алгоритма ОМП достаточно трудоёмкую операцию нормировки, как это следует из формулы (5):

Данный алгоритм был рассмотрен в [2], где было получено выражение для распределения оценки ˆRy для шумовой выборки:

В данное распределение входит гамма-функция Г(N) и модифицированная функция Бесселя KN-1(ˆRy) порядка N – 1.
Из (6) можно получить выражение для вероятности ложной тревоги:

Для верификации данной формулы было проведено моделирование корреляционного обнаружителя с расчётом Fy для разных значений порога Ly и N = 8 (см. рис. 2).

Результаты моделирования достаточно хорошо совпадают с аналитическими расчётами. В таблице 2 показаны пороги Ly для упрощённого алгоритма при разных N.

Коррелятор с бинарным накоплением
Ещё большего упрощения алгоритма (1) можно достигнуть, использовав умножитель с бинарным накоплением, вообще исключив из оптимального алгоритма операцию полноразрядного когерентного суммирования и заменив её критерийной обработкой. В данном случае порог на выходе такого устройства рассчитывается только для критерия N превышений порога из N выборок. Таким образом, вначале использовалась формула (7) для N = 1 для расчёта вероятности превышения порога после умножителя без накопления:

а затем вероятность на выходе бинарного накопителя для критерия N из N по формуле:

Для верификации данной формулы было проведено моделирование бинарного обнаружителя с расчётом FБ для разных значений порога LБ и N = 8 (см. рис. 3). Результаты моделирования хорошо совпадают с аналитическими расчётами.

В таблице 3 приведены пороги LБ для бинарного корреляционного обнаружителя при разных N.

Коррелятор с жёстким ограничением на входе
Чтобы избежать оценки мощности шума и нормировки к нему в алгоритме (1) для стабилизации вероятности ложной тревоги, можно воспользоваться жёстким ограничением сигналов на входе умножителя. В данном случае вероятность превышения порога на выходе шумом у такого устройства описывается следующей формулой, полученной в [5]:

где J0, J1 – функции Бесселя нулевого и первого порядка соответственно.
Интегрирование в формуле (10) осуществлялось в системе MATLAB c помощью функции quadgk. Дополнительно было применено приближённое выражение (11), которое представляет разложение (10) в ряд Эджворта:

К сожалению, с помощью приближённого выражения (11) результат вычислений совпадает с формулой (10) только для вероятности ложной тревоги 10–1. Для верификации полученной формулы было проведено моделирование данного устройства с расчётом Fo для разных значений порога Lo и N = 8 (см. рис. 4). Результаты моделирования подтверждают аналитические расчёты.

В таблице 4 приведены пороги Lo для умножителя с ограничением при разных N.

Характеристики обнаружения сравниваемых корреляционных устройств
Получив впервые столь ценные корректные расчётные данные для малых вероятностей ложной тревоги, было бы правильно рассчитать для сравниваемых корреляционных устройств и характеристики обнаружения флюктуирующего коррелированного сигнала. Это и было сделано с помощью моделирования в системе MATLAB. На рисунках 5 и 6 показаны вероятности правильного обнаружения флюктуирующего сигнала с коэффициентом корреляции 0,9 для четырёх рассматриваемых устройств соответственно, для N = 8 и вероятности ложной тревоги 10–1, и N = 32 и вероятности ложной тревоги 10–6.


Выводы
Используя аналитические выражения для распределений на выходе для четырёх типов нелинейных устройств, впервые удалось рассчитать точные значения порогов для малых вероятностей ложной тревоги при небольшом числе накоплений после умножения (8...32), при котором выходное распределение рассматриваемых устройств корреляционного типа существенно отличается от нормального. Рассчитаны характеристики обнаружения сравниваемых устройств. Данные расчёты могут быть использованы при анализе эффективности нелинейных устройств корреляционного типа. Показано, что наибольшей эффективностью в пороговом сигнале для вероятности правильного обнаружения 0,5 и вероятности ложной тревоги 10–1 и 10–6 обладает обнаружитель с умножителем и когерентным накоплением. По сравнению с обнаружителем ОМП, этот выигрыш может достигать 3...6 дБ. Такое ухудшение эффективности обнаружителя ОМП можно объяснить необходимостью оценивания дополнительных случайных параметров в знаменателе формулы (1). Это, своего рода, плата за инвариантные свойства данного алгоритма к изменениям мощности шума на входе, что обеспечивает стабилизацию вероятности ложной тревоги на выходе обнаружителя ОМП. Использование же умножителя с бинарным накопителем и жёстким ограничением приводит к большим потерям в пороговом сигнале.
Литература
- Бартенев В.Г. О выборе числа градаций весовых коэффициентов адаптивного цифрового фильтра. Современная электроника. 2007. №3. C. 62–64.
- Бартенев В.Г. Квазиоптимальные адаптивные алгоритмы обнаружения сигналов. Современная электроника. 2011. №2. C. 70–73.
- Бартенев В.Г. Применение распределения Уишарта для анализа эффективности адаптивных систем СДЦ. Радиотехника и электроника. 1981. Т. ХХVI. №2. C. 356–361.
- Бартенев В.Г., Бартенев М.В. Способ нахождения вероятностных характеристик на выходе нелинейных систем. Цифровая обработка сигналов. 2013. №4. С. 42–44.
- Бартенев В.Г. О распределении огибающей на выходе коррелятора с ограничением. Радиотехника. 1977. Т. 33. №3. C. 56–59.
Если вам понравился материал, кликните значок — вы поможете нам узнать, каким статьям и новостям следует отдавать предпочтение. Если вы хотите обсудить материал —не стесняйтесь оставлять свои комментарии : возможно, они будут полезны другим нашим читателям!

